Ответы
Ответ дал:
1
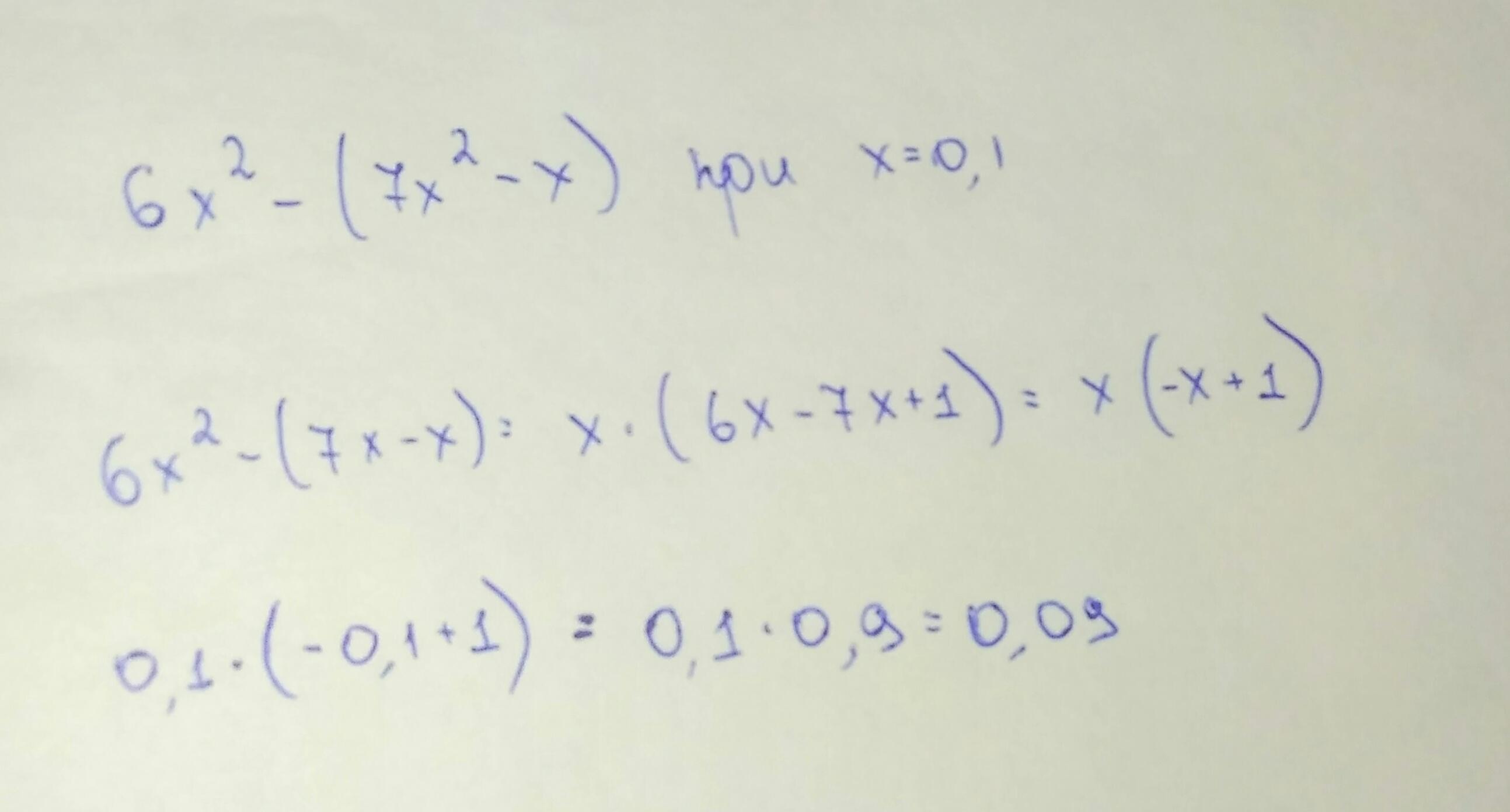
Упростить уравнение: x*(-x+1)
Ответ: 0.09
Приложения:

2dimaytin2167567:
все верно,спастбо
Вас заинтересует
2 года назад
2 года назад
2 года назад
7 лет назад
7 лет назад