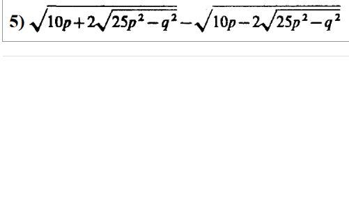
помогите пожалуйста, срооооочно
Приложения:

ososamudazai:
эм ...
Ответы
Ответ дал:
1
Відповідь:
якщо це з книжки то дивись г д з
Покрокове пояснення:
Вас заинтересует
2 года назад
2 года назад
2 года назад
2 года назад
7 лет назад
7 лет назад