Ответы
Ответ дал:
2
Ответ:
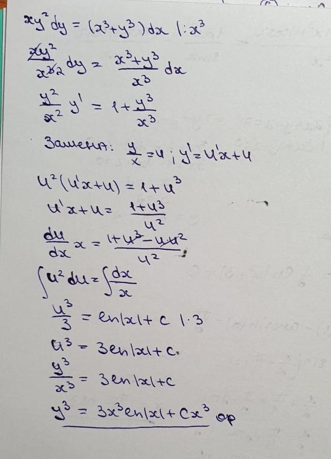
решение на фотографии
Приложения:


102101:
добрый вечер зайдите на мой вопрос физика мож кто то знает чтото
Вас заинтересует
2 года назад
2 года назад
2 года назад
2 года назад
7 лет назад
7 лет назад
9 лет назад
9 лет назад