Ответы
Ответ дал:
1
Ответ:
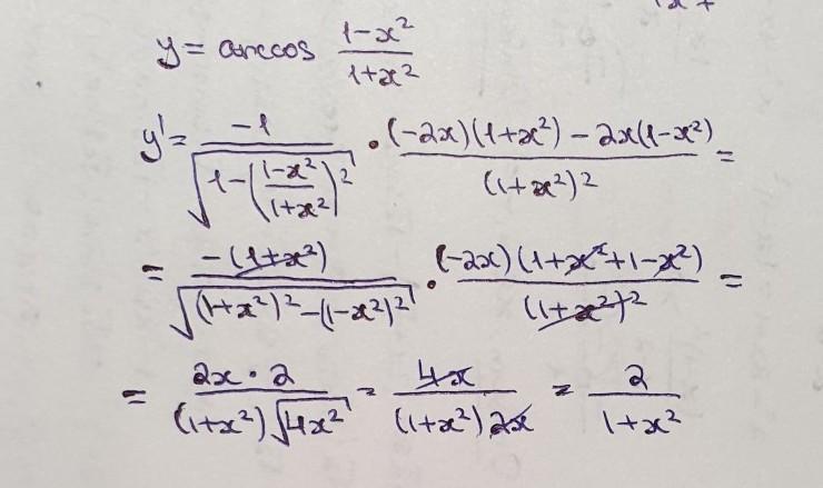
решение на фотографии
Приложения:

messisuper666:
Спасибо,а откуда вышла дробь с корнем?
Вас заинтересует
2 года назад
2 года назад
2 года назад
7 лет назад
7 лет назад
9 лет назад
9 лет назад