• Предмет: Математика
  • Автор: hio12975
  • Вопрос задан 3 года назад

помогите пожалуйста с математикой 9 класс

Приложения:

Ответы

Ответ дал: admins22
1

Ответ:

2/7 и 8/7

Пошаговое объяснение:

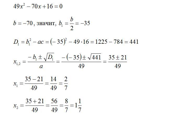
49x^2-70x+16=0, b=-70, значит, b1=b/2=-35

D1=b1^2-ac=(-35)^2-49*16=1225-784=441;

x1,2=(-b1+-sqrt(D1)/a=(-(-35)+-sqrt(441))/49=(35+-21)/49

x1=(35-21)/49=2/7

x2=(35+21)/49=8/7

Приложения:

hio12975: Спасибо, я как записать формулы?
admins22: Три нижние строчки в решении - это и есть формулы корней данного уравнения!
hio12975: увидел, спасибо большое
Вас заинтересует