• Предмет: Алгебра
  • Автор: Аноним
  • Вопрос задан 3 года назад

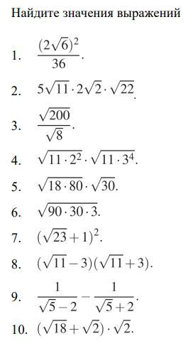
помогите! плз, как можно быстрее! дам 20 баллов

Приложения:

Ответы

Ответ дал: Аноним
2

Данный ответ представлен фотографией.

Приложения:

Lelf001: Здравствуйте, а вы можете мне помочь и решить мои задачки?
Аноним: благодарю за помощь!
Вас заинтересует