• Предмет: Алгебра
  • Автор: misostova06
  • Вопрос задан 3 года назад

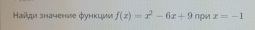
Ребят, помогите пожалуйста :с​

Приложения:

Ответы

Ответ дал: barashekshon2020
1

Ответ:

(-1)*(-1)-6*(-1)+9=1+6+9=16


misostova06: обожаю тебя, спасибо большое :3
dianakolisnik1995: (-1)*(-1)-6*(-1)+9=1+6+9=17
Ответ дал: MizoriesKun
2

f(x)=x²-6x+9=(x-3)²

f(-1)= (-1-3)²= (-4)²=16


perviychelovek35: здравствуйте вы не могли бы мне помочь с алгеброй пожалуйста умоляю
Вас заинтересует