• Предмет: Математика
  • Автор: Аноним
  • Вопрос задан 3 года назад

Помогитеее пожалуйста​ пжжж мне тақ нужжноооооооо

Приложения:

Ответы

Ответ дал: tatsach
1

Ответ:

Пошаговое объяснение:

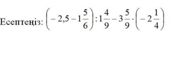
-2.5-1 5\6=-2 1\2-1 5\6=-2 3\6-1 5\6=-4 1\3

-4 1\3:1 4\9=-13\3*9\13=-3

3 5\9*(-2 1\4)=32\9*(-9\4)=-8

-3-(-8)=-3+8=5

Вас заинтересует