Ответы
Ответ дал:
2
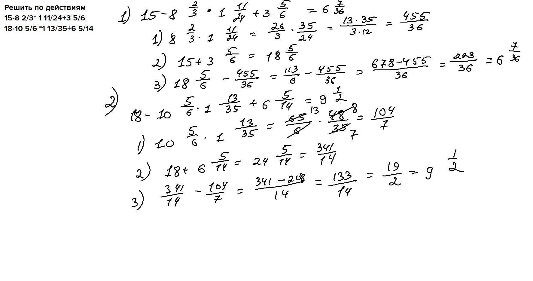
Решение на фото!
Стараюсь быть лучшим для вас!
Приложения:

Вас заинтересует
2 года назад
2 года назад
2 года назад
2 года назад
7 лет назад
7 лет назад
9 лет назад