• Предмет: Математика
  • Автор: irinastepanova6066
  • Вопрос задан 3 года назад

Виконати завдання...​

Приложения:

Ответы

Ответ дал: Miroslava227
0

Ответ:

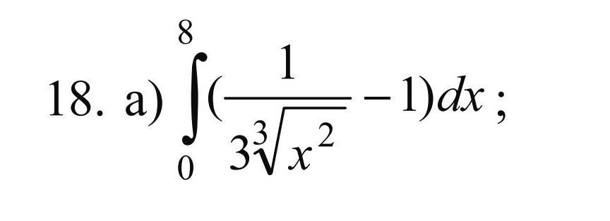
\int\limits( \frac{1}{3}  {x}^{ -  \frac{2}{3} }  - 1)dx =  \frac{1}{3}  \times  \frac{ {x}^{ \frac{ 1}{3} } }{ \frac{1}{3} }  - x + c =  \sqrt[3]{x}   - x + c

подставляем пределы:

 \sqrt[3]{8}  - 8 - ( \sqrt[3]{0}  - 0) = 2 - 8 =  - 6

Вас заинтересует