• Предмет: Математика
  • Автор: ahotgromikov
  • Вопрос задан 3 года назад

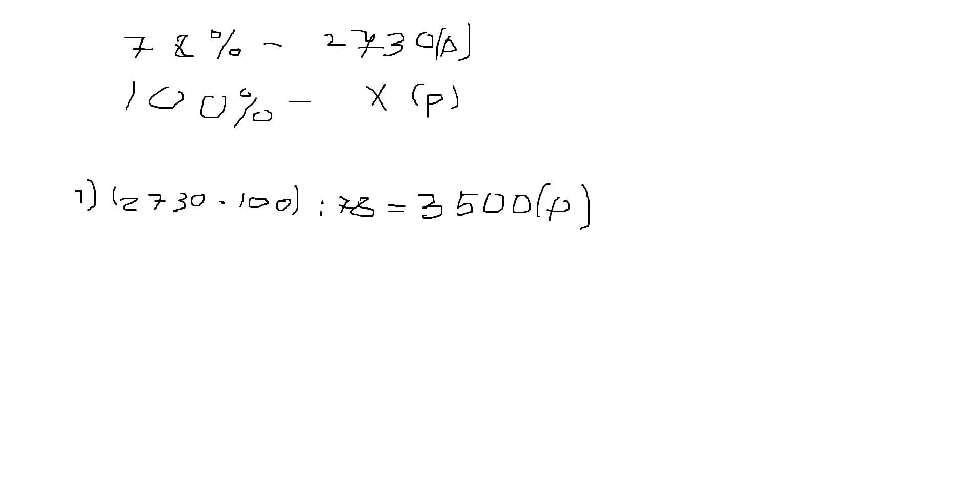
Товар на распродаже уценили на 22%, при этом он стал стоить 2730р. Сколько рублей стоил товар до распродажи ?


LikamiDet: ща буит

Ответы

Ответ дал: glebshishelov
0

Ответ:

3500 рублей

Пошаговое объяснение:

произведение крайних членов = произведению средних членов

100 - 22 = 78

Приложения:

LikamiDet: классно ты в пеинте мышкой за две минуты написал)
Ответ дал: LikamiDet
0

Ответ:

3500 рублей стоил товар

Пошаговое объяснение:

1) 100 - 22 = 78 % - стал стоить товар

2) 2730 *  100/78  = 3500 (р) - стоил товар

Вас заинтересует