• Предмет: Математика
  • Автор: alkdaldsadsa
  • Вопрос задан 3 года назад

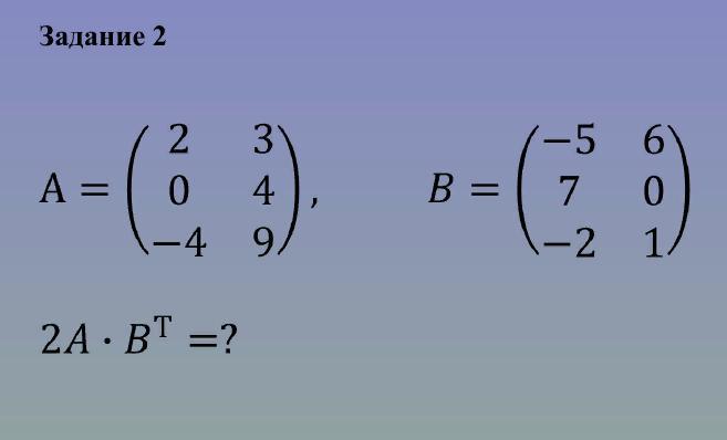
Помогите ребята пожалуйста. Матрица Математика.

Приложения:

Ответы

Ответ дал: mariel24012003
0

Ответ:

Пошаговое объяснение:

Приложения:
Вас заинтересует