• Предмет: Математика
  • Автор: martemov735
  • Вопрос задан 3 года назад

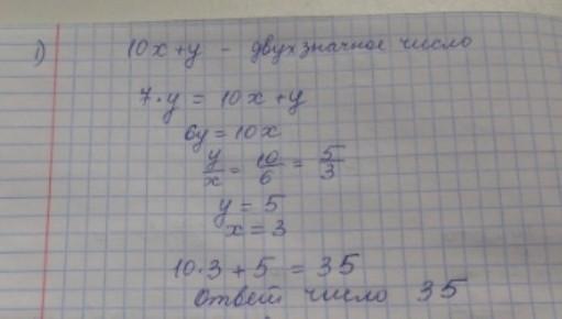
Даю 30 баллов 1) Найти двузначное число, которое в 7 раз больше суммы его
цифры его единиц.


martemov735: Но у кого правильное
?????
ViciPotteromanka: не знаю я так решила
ViciPotteromanka: ...
martemov735: За то что у тебя расписанно я тебе лучший ответ дам
ViciPotteromanka: хм
ViciPotteromanka: спасибо
martemov735: Незачто
ViciPotteromanka: хм=)

Ответы

Ответ дал: ViciPotteromanka
3

Ответ:

типо такое решение?

прости если не правильно

Приложения:

martemov735: Спс
ViciPotteromanka: хм=)
Ответ дал: la4off
2

Ответ:

42 (1+4)*7=42 воооотооооотт


martemov735: Спс
Вас заинтересует