• Предмет: Математика
  • Автор: kiselevkp
  • Вопрос задан 3 года назад

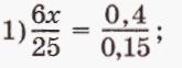
Решите уравнения:
Плиз помогите очень надо.

Приложения:

polundraF: прошуууу поставь коронуууу очень нужно

Ответы

Ответ дал: stanislavpeshkov08
1

 0,15(6х)=25*0,4

0,15(6х)=10

6х=10:0,15

6х=200/3

х=200/3:6

х=100/9

7/2 + t=4,2/t  

7t = 4,2( 2 + t )  

7t = 8,4 + 4,2t  

2,8t = 8,4  

t = 3

Ответ дал: polundraF
1

Пошаговое объяснение:

/=это знак деления или дробь, если их две, то значит что в дроби 3 числа, по вопросам ко мне на акк

1. 6х/25= 4/3/20 упростим выражение

6х/25=80/3 перекрёстное умножение

18х=2000

х=1000/9

2.7/2+t=21/5t упростим составную дробь

35t=21(2+t)

35t-21t=42

14t=42

t=3. t\neq-2.t\neq 0

t=3


polundraF: поставь корону прошууууууу
Вас заинтересует