• Предмет: Математика
  • Автор: osmonalievmarat753
  • Вопрос задан 3 года назад

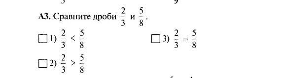
помогите пожалуйста​

Приложения:

Ответы

Ответ дал: Poziza
0

Ответ:

2

Пошаговое объяснение:

\frac{5}{8} = \frac{5*125}{8*125} = \frac{625}{1000} = 0,625\\

Ответ дал: klynsakk
0

Ответ:

foyfoyv

ggjchclcflxfdfdfyofyf

Вас заинтересует