Ответы
Ответ дал:
1
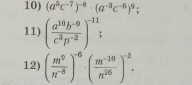
Ответ:
10) a^(-67) • c^2
11) (a^-110 • b^99)/(c^-33 •p^22)
12) (m^-34)/(n^-4)
Пошаговое объяснение:
При возведении степени в степень степени нужно умножить, а при умножении одинаковых оснований с различными степенями - степени нужно добавить. Поэтому имеем следующие результаты на фото:
Приложения:

katya55035503:
Спасибо ❤️❤️❤️❤️❤️❤️
Вас заинтересует
2 года назад
2 года назад
7 лет назад
7 лет назад
9 лет назад
9 лет назад