Помогите пожалуйста решить!
Очень нужно
Приложения:

gulbanadd:
Только 2 вариант
Ответы
Ответ дал:
1
Ответ:
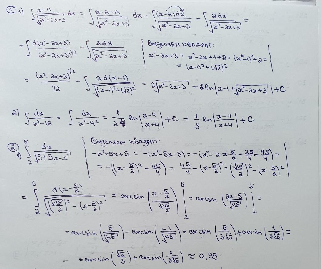
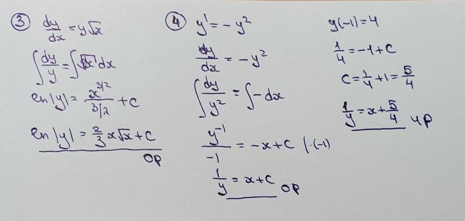
решение на фотографиях
Приложения:



Вас заинтересует
2 года назад
2 года назад
2 года назад
7 лет назад
9 лет назад