• Предмет: Математика
  • Автор: rahimovakobir6h17
  • Вопрос задан 3 года назад

помогите пожалуйста решить ​

Приложения:

Ответы

Ответ дал: Miroslava227
0

Ответ:

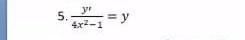
 \frac{y'}{4 {x}^{2} - 1 }  = y \\  \frac{dy}{dx}  \times  \frac{1}{4 {x}^{2} - 1 }  = y \\ \int\limits\frac{dy}{y}  = \int\limits(4 {x}^{2}  - 1)dx \\  ln(y)  =  \frac{ 4{x}^{3} }{3  }  - x + C

общее решение

Вас заинтересует