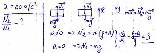
.Груз поднимают на веревке один раз равномерно, второй раз с ускорением 20 м/с2, во сколько раз натяжение веревки в первом случае будет больше, чем во втором?
Ответы
Ответ дал:
4
Ответ:
3
Объяснение:
Объяснение написано в фотографии
Приложения:

Вас заинтересует
2 года назад
2 года назад
9 лет назад