• Предмет: Физика
  • Автор: Abdullokhann
  • Вопрос задан 3 года назад

1.Два проводника сопротивлением 200 Ом и 300 Ом соединены параллельно. Определить полное сопротивление участка цепи и силу тока на каждом проводнике, если напряжение в цепи равно 220В.

2. Два резистора соединены параллельно. Сила тока в первом резисторе 1 А, во втором — 1,5 А. Сопротивление первого резистора 12 Ом. Определите силу тока на всем участке цепи и сопротивление второго резистора.

3. Два проводника сопротивлением 2 Ом и 3 Ом соединены последовательно. Сила тока в цепи 1 А. Определить сопротивление цепи, напряжение на каждом проводнике и полное напряжение.

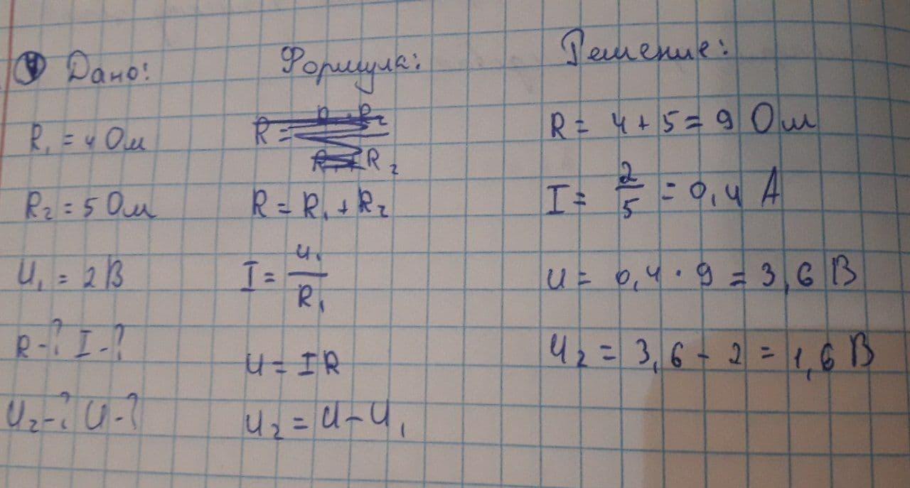
4. Два проводника сопротивлением 4 Ом и 5 Ом соединены последовательно. Напряжение на концах первого проводника 2 В. Определить сопротивление цепи, силу тока в цепи, напряжение на втором проводнике и полное напряжение.

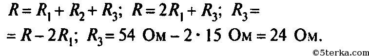
5. Общее сопротивление последовательно включенных двух ламп сопротивлением 15 Ом каждая и реостата равно 54 Ом. Определите сопротивление реостата.

Ответы

Ответ дал: salihekarimova
7

Ответ:

1. 120 Ом; 1,1 А; 0,7(3)

2. 8 Ом

3. 5 Ом; 5 В; 2 В; 3 В

4. 9 Ом; 0,4 А; 3,6 В; 1,6 В

5. 24 Ом

Объяснение:

1. Дано:

R_{1} = 200 Ом

R_{2} = 300 Ом

U = 220 В

R-? I_{1}-? I_{2}-?

Решение:

R=\frac{R_{1}*R_{1}}{R_{1}+R_{1}} \frac{200*300}{200+300} =\frac{60000}{500} =120

I_{1} =\frac{220}{200}=1,1

I_{2} =\frac{220}{300}=0,7(3)

На фото 2, 3, 4 задачи, и две последние 5 задача

Приложения:

xamza2706: а где здесь пятое задание
Вас заинтересует