• Предмет: Алгебра
  • Автор: Prinzesso4ka
  • Вопрос задан 3 года назад

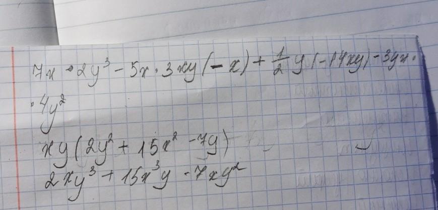
Помогите решить пожалуйста:7x•2y³-5x•3xy•(-x)+½y•(-14xy)-3yx•4y²​

Ответы

Ответ дал: evgexa2216
1

Ответ:

2xy^3+15x^3y-7xy^2

Объяснение:

Ответ дал: crystal2096
1

Решение выше, все просто

Приложения:
Вас заинтересует