Ответы
Ответ дал:
2
Ответ:
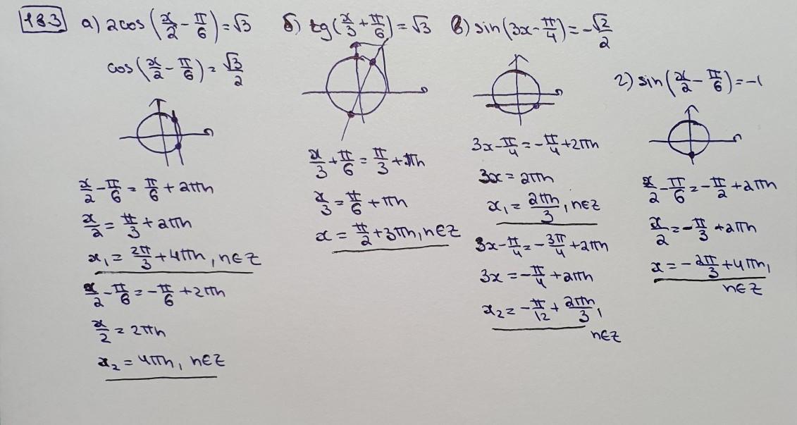
решение на фотографиях
Приложения:


Dizinsektor2020:
Благодарю.
Вас заинтересует
2 года назад
2 года назад
7 лет назад