• Предмет: Математика
  • Автор: Seegeystoun382
  • Вопрос задан 3 года назад

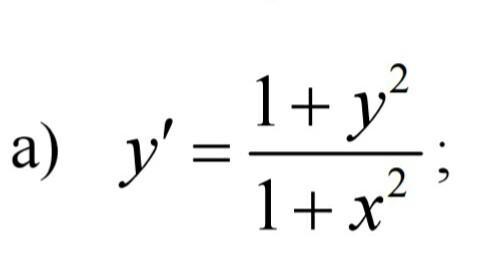
Найдите общее решение дифференциального

уравнения первого порядка (с подробным решением,нужно расписать порядок действий)

Приложения:

Ответы

Ответ дал: Miroslava227
1

Ответ:

решение на фотографии

Приложения:
Вас заинтересует