• Предмет: Математика
  • Автор: Seegeystoun382
  • Вопрос задан 3 года назад

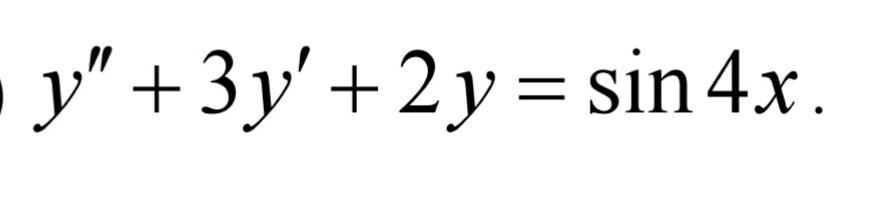
Найдите общее решение дифференциального
уравнения второго порядка (расписать подробно ход решения)

Приложения:

Ответы

Ответ дал: Miroslava227
1

Ответ:

решение на фотографиях

Приложения:
Вас заинтересует