• Предмет: Алгебра
  • Автор: irynasokolova
  • Вопрос задан 3 года назад

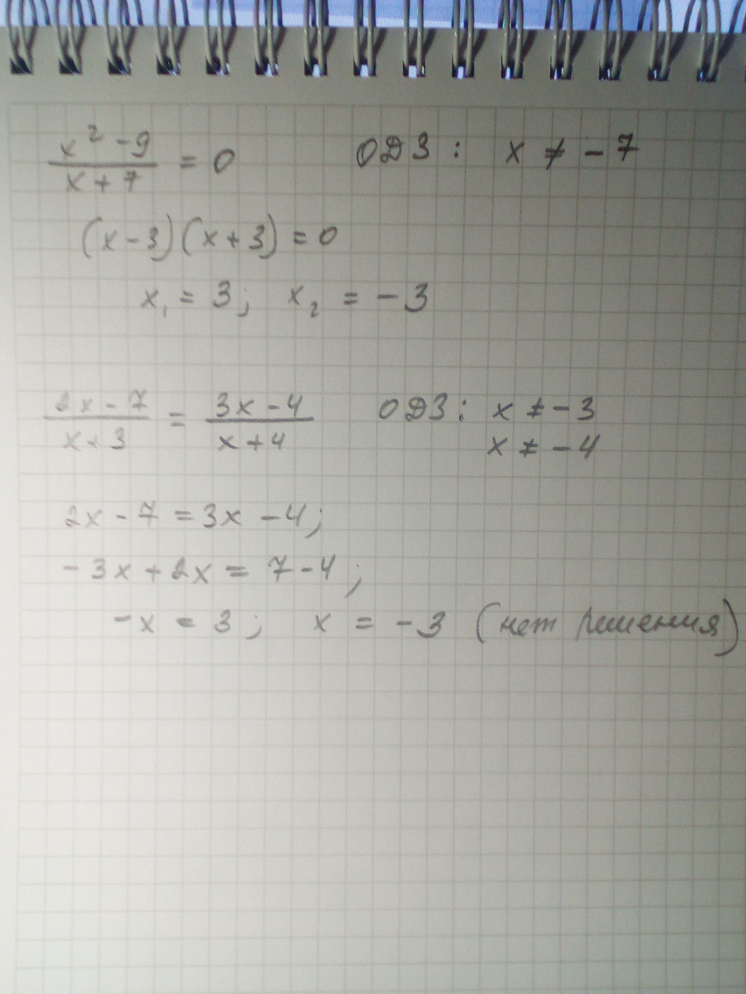
рациональные уравнения 8 класс

Приложения:

Аноним: 1) это не уравнение, его нельзя решить как уравнение,
irynasokolova: контрольная по теме Рациональные уравнения

Ответы

Ответ дал: Пеппер
1

Ответ: ::::::::::::::::::

Объяснение:

Приложения:
Вас заинтересует