• Предмет: Математика
  • Автор: tervarchik
  • Вопрос задан 3 года назад

помогите срочно сделать пример

Приложения:

Ответы

Ответ дал: 15Vahe
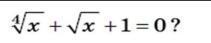
1

\sqrt[4]x}+\sqrt{x}+1=0

\sqrt[4]x}+\sqrt{x}=-1

\left \{ {{\sqrt[4]{x}\geq 0 } \atop {\sqrt{x} \geq 0}} \right.

\sqrt[4]x}+\sqrt{x}\geq0

x∈∅

Вас заинтересует