• Предмет: Математика
  • Автор: kilkpll
  • Вопрос задан 3 года назад

помогите срочно, пожалуйста!!

Приложения:

Ответы

Ответ дал: manyny06
0

Ответ:

решение смотри на фотографии

Пошаговое объяснение:

Приложения:
Ответ дал: 15Vahe
0

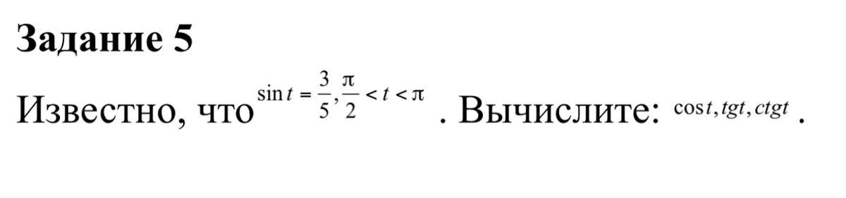
sint=\frac{3}{5}

cost=-\sqrt{1-\frac{9}{25} }=-\sqrt{\frac{16}{25} }=-\frac{4}{5}

tgt=\frac{\frac{3}{5} }{-\frac{4}{5} }=-\frac{3}{4}

ctgt=-\frac{4}{3}

Вас заинтересует