• Предмет: Алгебра
  • Автор: Аноним
  • Вопрос задан 3 года назад

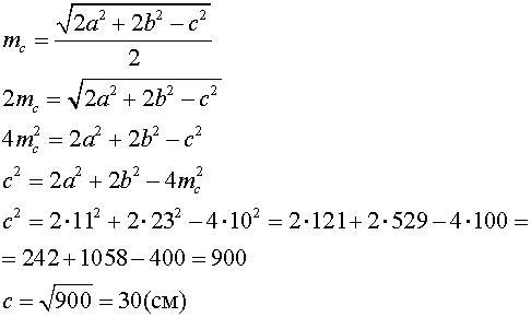
уЗнайте третью сторону трикотажа, так чтобы две его стороны были 23 см и 11 см в ширину, а середина была расширена вправо на 10 см.

Ответы

Ответ дал: nikitkamorin070
0

Ответ:

Объяснение: все легко ( ответ ) в файле*****

Приложения:

Аноним: а можно написать ответ коменты
Вас заинтересует