• Предмет: Алгебра
  • Автор: pashagutorov00
  • Вопрос задан 3 года назад

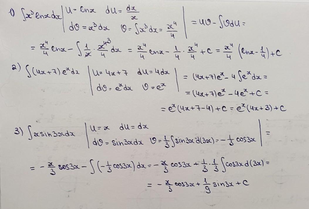
Вычислить неопределённые интегралы, используя метод интегрирования по
частям

Приложения:

Ответы

Ответ дал: Miroslava227
1

Ответ:

решение на фотографии

Приложения:

pashagutorov00: Спасибо большое чтоб яб без вас делал бы какой раз уже помогаете)
Вас заинтересует