• Предмет: Математика
  • Автор: aoplis
  • Вопрос задан 3 года назад

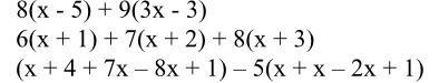
Плиз срочно,упростить

Приложения:

Ответы

Ответ дал: Anonim17389
1

Ответ:

1) 8х-40+27х-27

2) 6х+6+7х+14+8х+24=44+21х

3) (х+4-7х-8х+1)-5х+(-5х)+10х+(-5)=(х+4-7х-8х+1)+(-5)

Ответ дал: fk040826
1

Ответ:

Пошаговое объяснение:

Приложения:
Вас заинтересует