• Предмет: Алгебра
  • Автор: zozo2007
  • Вопрос задан 3 года назад

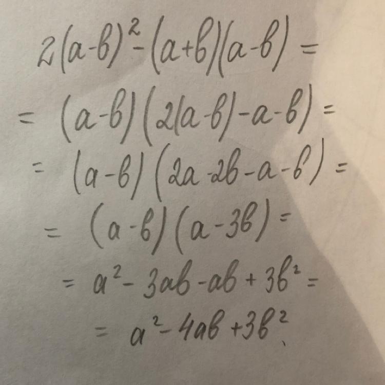
2(a-b)2-(a+b)(a-b)
2- степень

Ответы

Ответ дал: Yana765
1
если я правильно поняла условие и задача была раскрыть скобки, то решение на картинке
Приложения:
Вас заинтересует