• Предмет: Алгебра
  • Автор: alecsadr
  • Вопрос задан 3 года назад

помогите пожалуйста срочно кто самый умный здесь

Приложения:

alecsadr: ааааууууууууууу

Ответы

Ответ дал: Veronika724
1

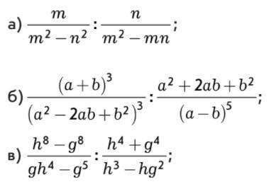
а)

\frac{m}{m^2-n^2} : \frac{n}{m^2-mn} = \frac{m(m^2-mn)}{n(m^2-n^2)} = \frac{m^2(m-n)}{n(m-n)(m+n)} = \frac{m^2}{n(m+n)} = \frac{m^2}{mn+n^2}.

б)

\frac{(a+b)^3}{(a^2-2ab+b^2)^3} : \frac{a^2+2ab+b^2}{(a-b)^5} = \frac{(a+b)^3}{((a-b)^2)^3} : \frac{(a+b)^2}{(a-b)^5} = \frac{(a+b)^3}{(a-b)^6}:\frac{(a+b)^2}{(a-b)^5} = \frac{(a+b)^3(a-b)^5}{(a-b)^6(a+b)^2} =\\\\= \frac{a+b}{a-b}

в)

\frac{h^8-g^8}{gh^4-g^5} : \frac{h^4+g^4}{h^3-hg^2} = \frac{(h^4-g^4)(h^4+g^4)}{g(h^4-g^4)} : \frac{h^4+g^4}{h(h^2-g^2)} = \frac{h(h^2-g^2)(h^4-g^4)(h^4+g^4)}{g(h^4-g^4)(h^4+g^4)} = \frac{h(h^2-g^2)}{g} =\\\\= \frac{h^3-hg^2}{g}


Veronika724: Настолько подробно, насколько можно
alecsadr: спасибо
Вас заинтересует