• Предмет: Алгебра
  • Автор: overthinker
  • Вопрос задан 3 года назад

Помогите пожалуйста

Приложения:

Ответы

Ответ дал: lisavetasuper1206200
1

Объяснение:

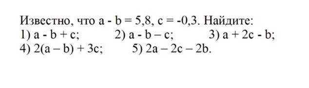
1)a-b+c=5,8-0,3=5,5

4)2(a-b)+3c=11,6-0,9=10,7

2)a-b-c=5,8+0,3=6,1

3)a+2c-b=5,8-0,6=5,2

5)2a-2c-2b=11,6+0,6=12,2

Вас заинтересует