Ответы
Ответ дал:
1
Ответ:спасла?
Пошаговое объяснение:
Приложения:

Ответ дал:
1
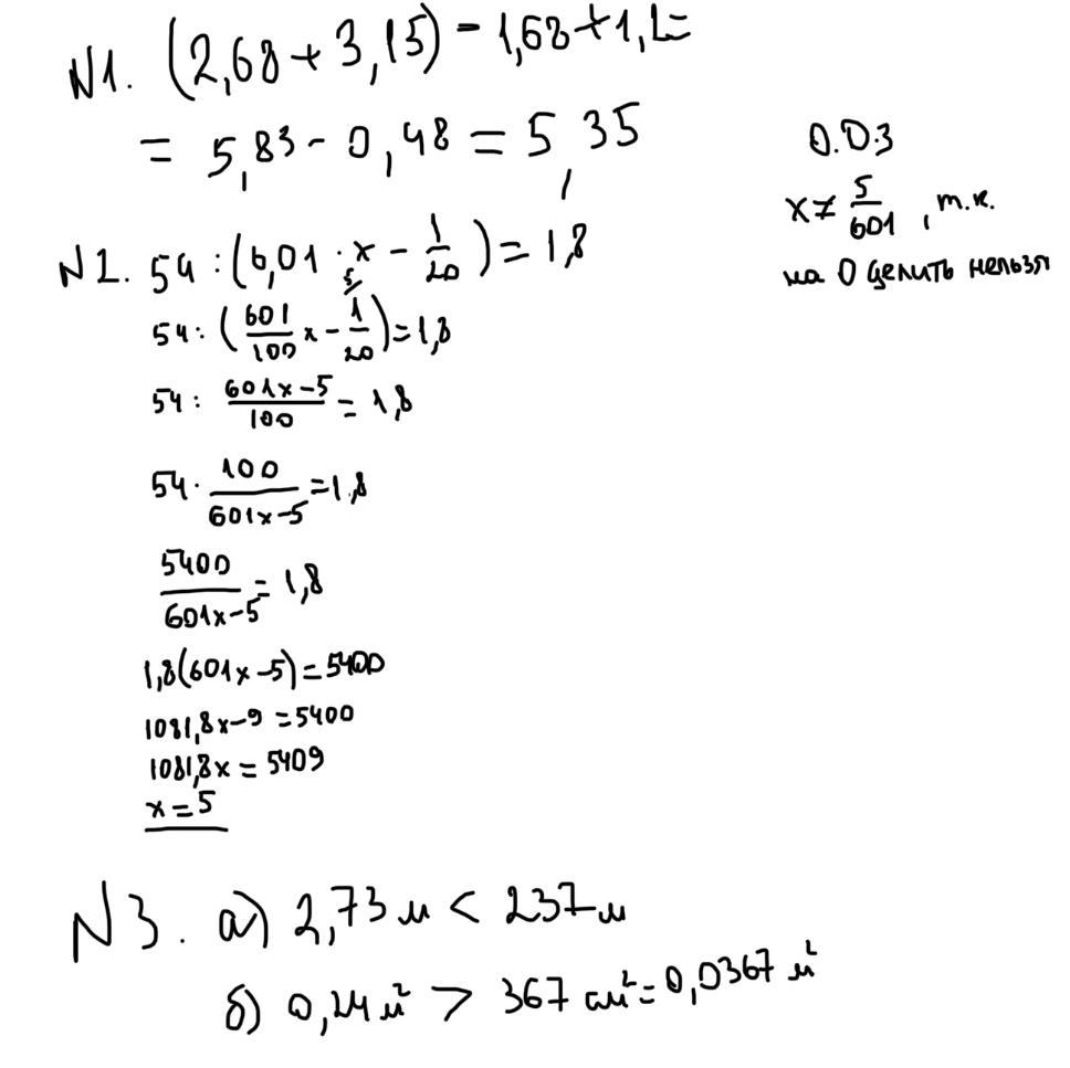
Ответ:
1) 5,35
2) 54:(6,01x-1/20)=1,8
x≠5/601
54: (601/100•(-1/20)=1,8
54:601х-5/100=1,8
54:100/601х-5=1,8
5400/601х-5=1,8
5400=1081,8х-9
-1081,8х=-9-5400
x=5 х≠5/601
Пошаговое объяснение:
Вас заинтересует
2 года назад
2 года назад
2 года назад
7 лет назад
9 лет назад
9 лет назад