Ответы
Ответ дал:
2
~~~~~~~~~~~~~~~~~~~~
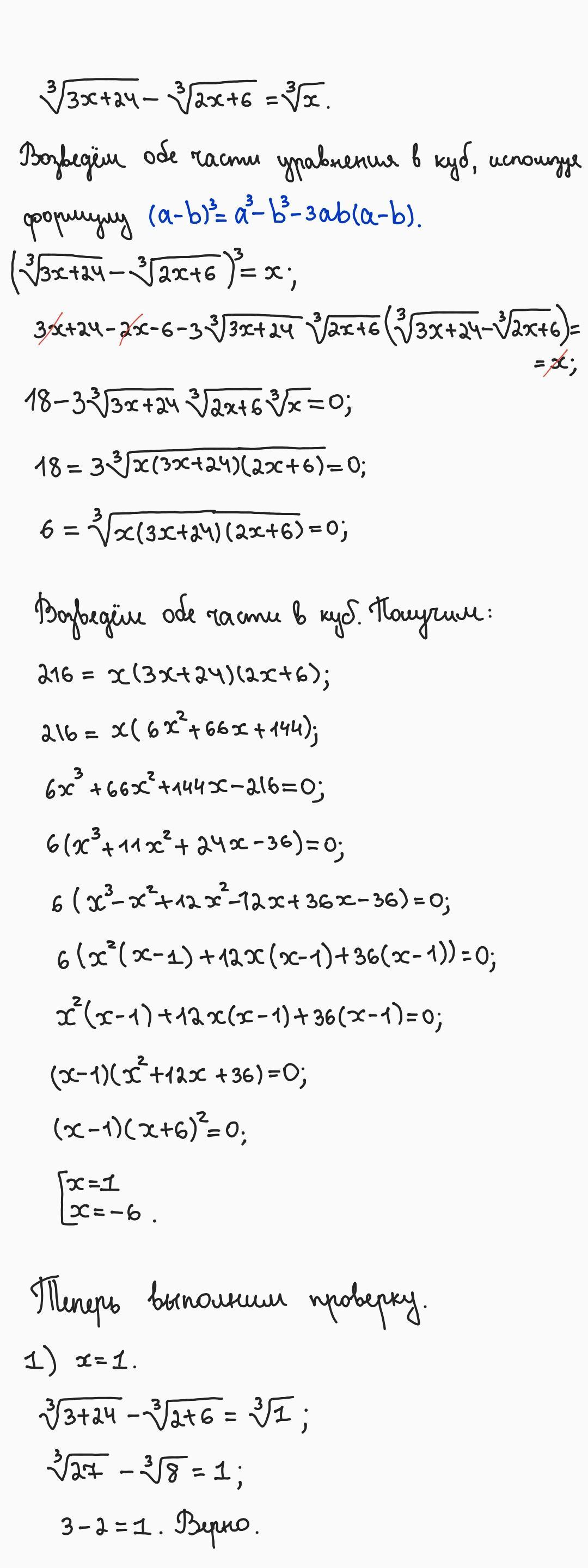
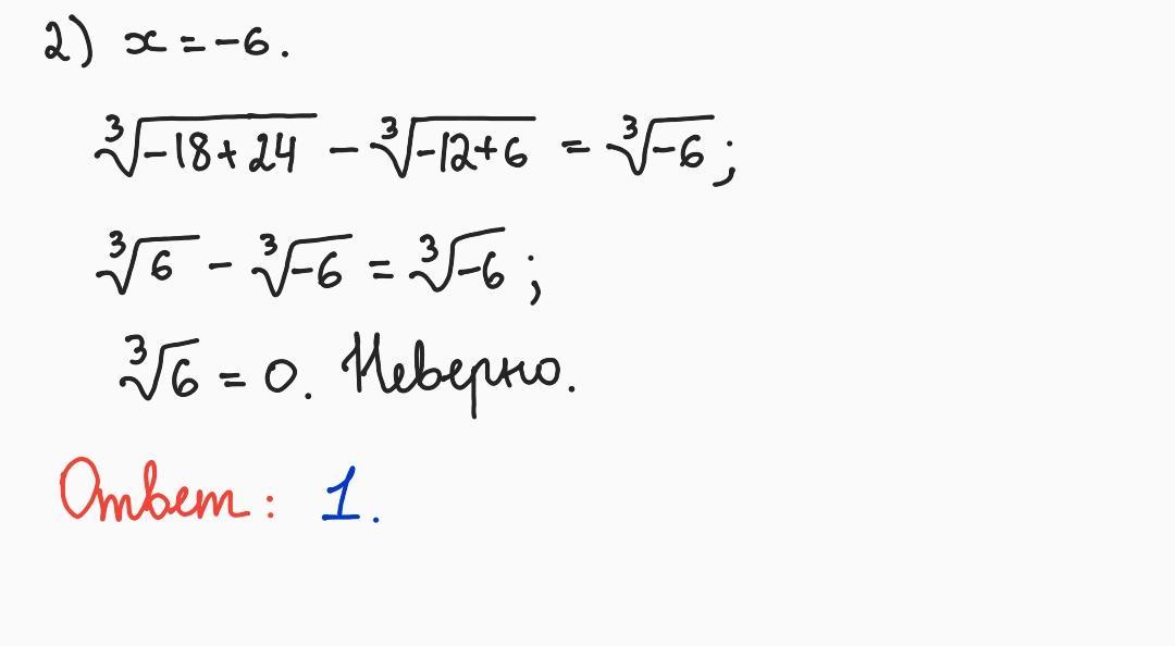
Приложения:


jopaedkin:
спасибо огромное!!!!
Вас заинтересует
2 года назад
2 года назад
2 года назад
2 года назад
7 лет назад
7 лет назад
9 лет назад
9 лет назад