Ответы
Ответ дал:
1
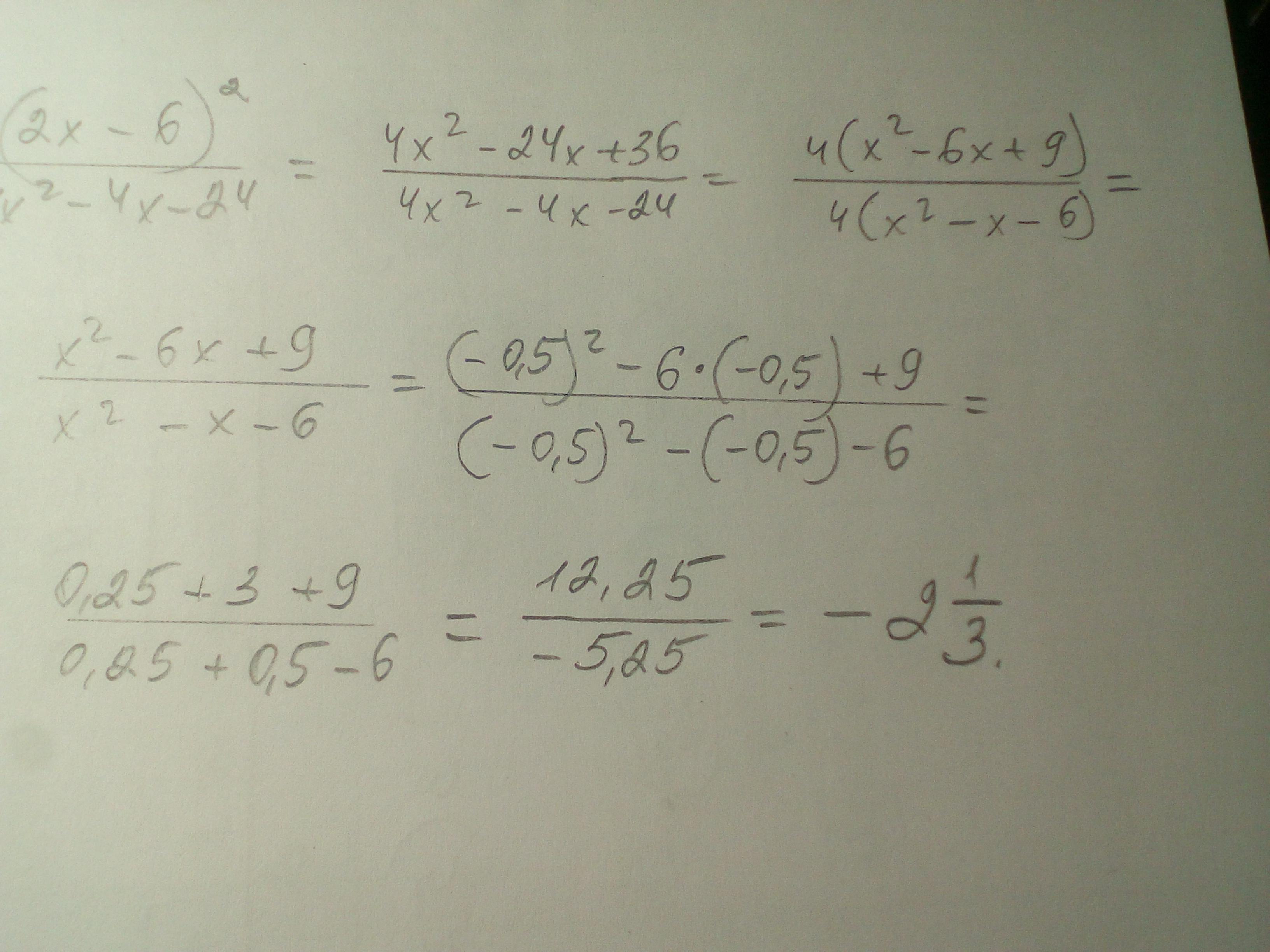
Ответ:
-2 1/3
Объяснение:
Приложения:

Вас заинтересует
2 года назад
2 года назад
2 года назад
7 лет назад
7 лет назад