• Предмет: Математика
  • Автор: arsenbek2008
  • Вопрос задан 3 года назад

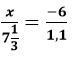
Найдите x из пропорции

Приложения:

Ответы

Ответ дал: matilda17562
1

Ответ:

-40.

Пошаговое объяснение:

х / 7 1/3 = - 6 / 1,1

х / 22/3 = - 60 / 11

11х = -60•22/3

11х = - 20•22

х = - (20•22)/11

х = - 20•2

х = - 40

Ответ: - 40.

Второй способ:

х : 7 1/3 = - 6 / 1,1

х : 22/3 = - 60 / 11

х = - 60/11 • 22/3

х = - (60•22)/(11•3)

х = - (20•2)/(1•1)

х = - 40

Ответ: - 40.

Вас заинтересует