• Предмет: Математика
  • Автор: zeynalovali
  • Вопрос задан 3 года назад

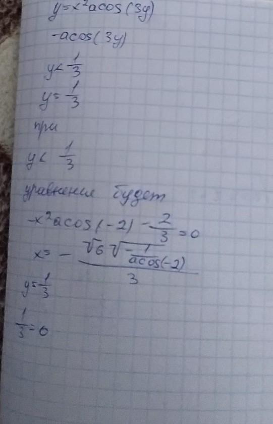
Дам 100 баллов, у=х²аrccos3у, найти у

Ответы

Ответ дал: Fireworld40
1

Ответ:

ответ дан на фотографии

Приложения:
Ответ дал: Аноним
0

Ответ:

 \frac{1}{3}  = 0

Вас заинтересует