• Предмет: Алгебра
  • Автор: VladislavSa
  • Вопрос задан 3 года назад

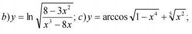
ДАЮ 15, НАЙТИ ПРОИЗВОДНУЮ

Приложения:

Ответы

Ответ дал: Miroslava227
1

Ответ:

b)y' =  \frac{1}{ \sqrt{ \frac{8 - 3 {x}^{2} }{ {x}^{3} - 8x } } }  \times  \frac{1}{2}  {( \frac{8 - 3 {x}^{2} }{ {x}^{3}  - 8x}) }^{ -  \frac{  1}{2} }  \times  \frac{ - 6x( {x}^{3}  - 8x) - (3 {x}^{2} - 8)(8 - 3 {x}^{2})  }{ {( {x}^{3} - 8x) }^{2} }  =  \sqrt{ \frac{ {x}^{3}    - 8x}{8 - 3 {x}^{2} } }  \times  \frac{1}{2}  \times  \sqrt{ \frac{ {x}^{3}  - 8x}{8 - 3 {x}^{2} } }  \times  \frac{ - 6 {x}^{4} + 48 {x}^{2} - 24 {x}^{2}  + 9 {x}^{3}   + 64 - 24 {x}^{2}  }{ {( {x}^{3} - 8x) }^{2} }  =  \frac{1}{2}  \times  \frac{ {x}^{3}  - 8x }{8 - 3 {x}^{2} }  \times  \frac{ - 6 {x}^{4} + 9 {x}^{3}  + 64 }{ {( {x}^{3}  - 8x) }^{2} }  =  \frac{9 {x}^{3}  - 6 {x}^{4} + 64 }{(8 - 3 {x}^{2} )( {x}^{3}  - 8x)}

c)y' =  -  \frac{1}{ \sqrt{1 - (1 -  {x}^{4}) } }  \times  \frac{1}{2}  {(1 -  {x}^{4} )}^{ -  \frac{1}{2} }  \times ( - 4 {x}^{3} )  +  \frac{2}{5}  {x}^{ -  \frac{3}{5} }  =  -  \frac{1}{ \sqrt{ {x}^{4} } }  \times  \frac{1}{2}  \times  \frac{ ( - 4 {x}^{3}) }{ \sqrt{1 -  {x}^{4} } }  +  \frac{2}{5 \sqrt[5]{ {x}^{3} } }  =  \frac{2 {x}^{3} }{ \sqrt{1 -  {x}^{4} } \times  {x}^{2}  }  +  \frac{2}{5 \sqrt[5]{ {x}^{3} } }  =  \frac{2 x}{ \sqrt{1 -  {x}^{4} } }  +  \frac{2}{5 \sqrt[5]{ {x}^{3} } }

Вас заинтересует