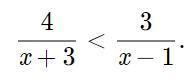
Решите неравенство.
В ответ запишите наибольшее целое отрицательное решение данного неравенства.
Приложения:

Ответы
Ответ дал:
1
Ответ:
думаю, что так
Объяснение:
Приложения:

Вас заинтересует
2 года назад
2 года назад
2 года назад
7 лет назад
9 лет назад