• Предмет: Алгебра
  • Автор: Уголёк34
  • Вопрос задан 3 года назад

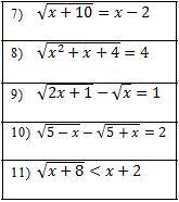
Нужно решение и ответ

Приложения:

Ответы

Ответ дал: zilolaa31
0

Ответ:

7)6

8)x1=-4;x2=3

9)x1=0;x2=4

10)x=3+2|/5-|/13-4|/5

----------------------------

2

Вас заинтересует