• Предмет: Алгебра
  • Автор: Aseme
  • Вопрос задан 11 лет назад

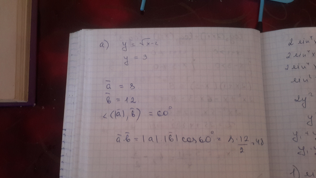
длины векторов а и в равны 8 и 12, а угол между  60. найдите их скалярное произведение

Ответы

Ответ дал: Rechnung
0
ab=|a|*|b|*cos60=8*12* frac{1}{2}=48
Ответ дал: prostomama1
0
Приложения:
Вас заинтересует