• Предмет: Алгебра
  • Автор: MaKs72145
  • Вопрос задан 3 года назад

Так же найти производную и подробное расписать

Приложения:

Ответы

Ответ дал: Miroslava227
0

Ответ:

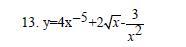
y = 4 {x}^{ - 5}  + 2 {x}^{ \frac{1}{2} }  - 3 {x}^{ - 2}

y' = 4 \times ( - 5) {x}^{ - 6}  + 2 \times  \frac{1}{2}  {x}^{ -  \frac{1}{2} }  - 3 \times ( - 2) {x}^{ - 3}  =  - 20 {x}^{ - 6}  +  {x}^{ -  \frac{1}{2} }  + 6 {x}^{ - 3}  =  -  \frac{20}{ {x}^{6} }  +  \frac{1}{ \sqrt{x} }  +  \frac{6}{ {x}^{3} }

Вас заинтересует