помогите пожалуйста. задачи с объяснением!!!!! заранее спасибо❤️
Приложения:

vladasavchenko1975:
Какие это геометрические фигуры? Треугольники?
Ответы
Ответ дал:
0
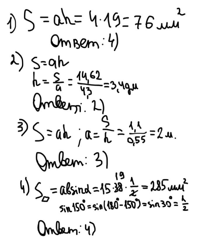
Ответ:
Пошаговое объяснение:
Приложения:

Вас заинтересует
2 года назад
2 года назад
7 лет назад
7 лет назад
9 лет назад
9 лет назад