• Предмет: Алгебра
  • Автор: viktoriakarpeshova
  • Вопрос задан 3 года назад

Зведіть дріб до вказаного знаменника​

Приложения:

Ответы

Ответ дал: elevenfiftynine
0

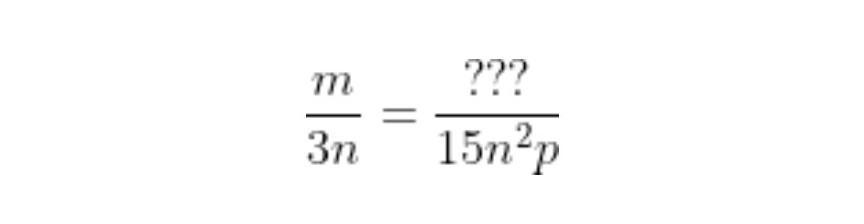
Ответ:

5npm

Объяснение:

Найдем, на какое число нам нужно умножить дробь, чтобы получить указанный знаменатель:

15n²p/3n=5np

Умножим числитель:

m*5np=5npm

Ответ: 5npm

Вибачте за рішення по-російськи, не кажу по-українськи. Сподіваюся, що допоміг! :)

Вас заинтересует