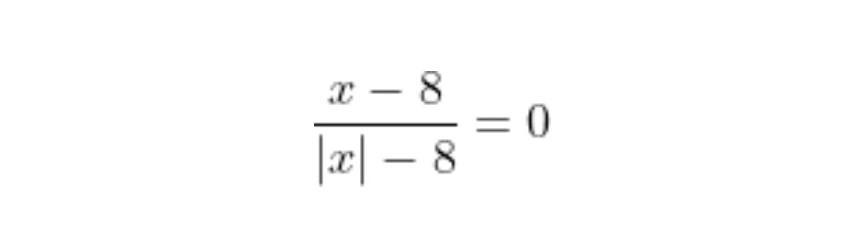
Розв'яжіть рівняння і оберіть правильні твердження, щоб сформувати правильну відповідь:
Приложения:

Ответы
Ответ дал:
0
Відповідь: ∅
Пояснення:
Необхідно визначити ОДЗ
|x|-8≠0
|x|≠8
x≠±8
Тепер вирішуємо рівняння (говоримо так, щоби це рівняння =0, то необхідно, щоби чисельник дорівнював 0, а знаменник не дорівнював 0)
х-8= 0
х=8
Але так як ОДЗ виключає х=8, то відповідь: рівняння немає рішень
Вас заинтересует
2 года назад
2 года назад
7 лет назад