• Предмет: Алгебра
  • Автор: ponomarva07
  • Вопрос задан 3 года назад

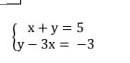
Решите систему уравнений графическим способом. ​

Приложения:

Ответы

Ответ дал: Пеппер
2

Ответ:

М (2; 3)

Объяснение:

х+у=5;        у=5-х;  х=5  у=0;  х=0  у=5

у-3х=-3;  у=3х-3;    х=1  у=0;   х=0  у=-3              

Приложения:

Аноним: Молодец!
Вас заинтересует