• Предмет: Алгебра
  • Автор: soodonbekovanuraj
  • Вопрос задан 3 года назад

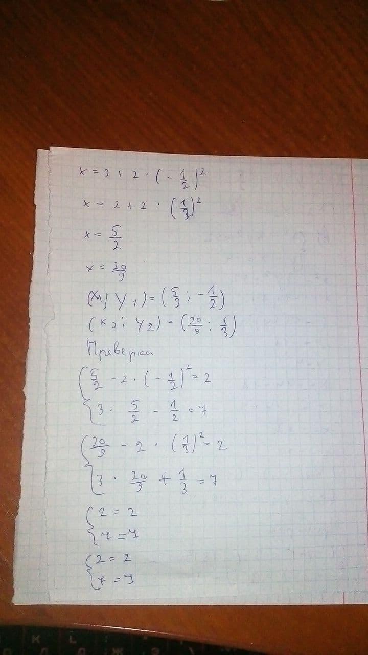
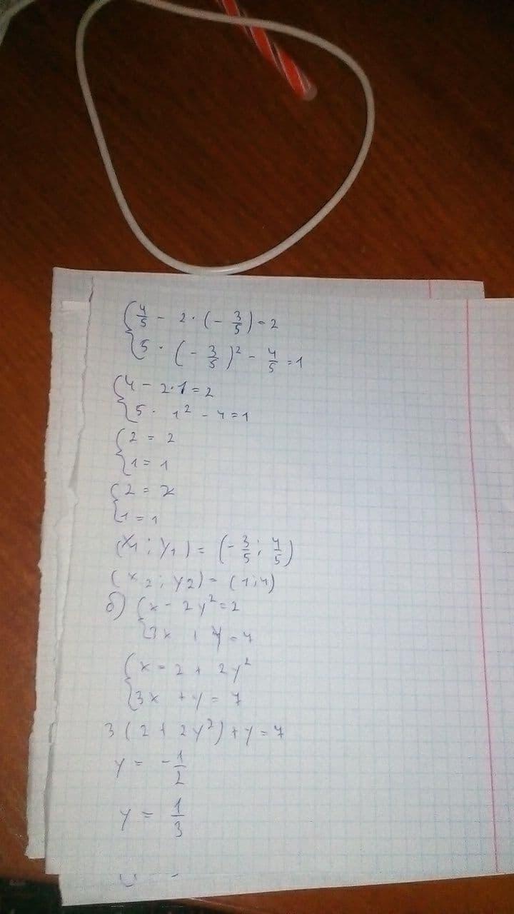
248 Решите систему уравнений:
30 баллов даю спасите​

Приложения:

soodonbekovanuraj: вернее 15 извините
soodonbekovanuraj: ошиблась с расчетами
Miа16: Здравствуйте! Я смогу решить, но скорее всего уже завтра. Вас это устроит?)
soodonbekovanuraj: да
soodonbekovanuraj: спасибо
soodonbekovanuraj: до 10
Miа16: Хорошо)

Ответы

Ответ дал: Miа16
1

Ответ: Фото.

Объяснение:

Приложения:
Вас заинтересует