• Предмет: Алгебра
  • Автор: epoxa1
  • Вопрос задан 3 года назад

Упростите, пожалуйста! Даю 80 баллов

Приложения:

Ответы

Ответ дал: Adzuno
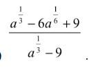
1

 \frac{ {a}^{ \frac{1}{3} } - 6 {a}^{ \frac{1}{6} }   + 9}{ {a}^{ \frac{1}{3} }  - 9}  =  \frac{( {a}^{ \frac{1}{6} }  - 3)^{2} }{( {a}^{ \frac{1}{6} } - 3) \times ( {a}^{ \frac{1}{6} }  + 3) }  =  \\  =  \frac{ {a}^{ \frac{1}{6} }  - 3}{ {a}^{ \frac{1}{6} } + 3 }

Вас заинтересует