• Предмет: Алгебра
  • Автор: Аноним
  • Вопрос задан 3 года назад

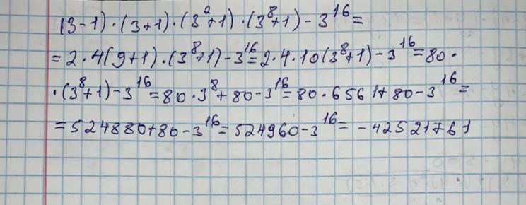
обчисліть (3-1)(3+1)(3^2+1)(3^8+1)-3^16

Ответы

Ответ дал: sofiyaborisova02
1
Ответ на картинке, удачи :)
Приложения:
Вас заинтересует